正航儀器試驗方法
文章出處:正航儀器
人氣:
發表時間:2015-07-31
正航儀器試驗方法
1外觀質量
在日光或人工照明下用目側法。
2結構
用分度值為0.02mm的游標卡尺或分度值不低于。.02mm的其它量具檢驗,
3剛度
試驗儀器:剛度儀其精度應/被測剛度允許偏差的五分之一~三分之一。
試驗方法:將波紋管安裝在儀器上,給予波紋管以相當于壓縮安全位移Wmax的5%~03%的預壓縮位移或與之相當的預壓縮力,然后測量出使波紋管產生相當于波紋管壓縮安全位移Wnlax的30%~50%壓縮位移所需要的集中力Q,先預測一次,再正式試驗一次讀得Q值
數據處理方法:
每只波紋管實際剛度J;的計算式如下:
式中:WG—壓縮工作位移m
Q—集中力KN。
次只剛度偏差T的計算式如下:
式中:J—波紋管公稱剛度KN/心
J—波紋管實際剛度KN/m
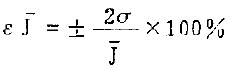
波紋管分散度eJ的計算式如下:
式中:J—波紋管平均剛度KN/m
a—波紋管實際剛度對平均剛度的標準離差按下式計算
式中:Jj— 第j個波紋管的實際剛度KN/m
j—波紋管件的序號。
4.殘余變形
試驗儀器;用測量誤差不大于殘余變形允許變化值的三分之一的專用儀器進行殘余變形檢驗。
試驗方法:將波紋管安放在專用測試儀器上,用集中力Q預壓波紋管兩次,預壓縮位移為壓縮工作位移Wg的洲%一75%回零后對零。然后,再用集中力使波紋管產生壓縮工作位移Wg,保持5min如后緩慢卸載回零,5min后讀取回程零位偏離值W.
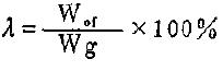
數據處理方法:殘余變形百分率按下式計算:
式中:Wg—壓縮工作位移m助
Wof—壓縮后零位偏離值mm。
5氣密性
試驗儀器 :1.5級壓力表及水槽、氣源、密封夾具。
試驗方法:將波紋管用密封夾具密封,然后通入相當于安全內壓力Pmax的03%的氣壓,在水槽內觀察lmin,看是否有水泡從波紋管表面逸出。
注: 在條件允許時可采用其它可靠方法。
6.心安全內壓力
試驗儀器:用測量誤差不大于波紋管長度變化率三分之一的專用儀器及量程為安全內壓力Pmax的1.5~2倍、精度不低于1.5級的壓力表進行安全內壓力檢驗。
試驗方法:將波紋管安裝在接頭上予以密封并制動,然后置于檢驗儀器上,向波紋管內通入壓力(安全內壓力Pmax,保持lm認后釋放壓力,5min動后讀取零位偏離值woP。
數據處理方法:波紋管長度變化率氏按下式計算:
式中:Lg—工作長度mTn
7.可靠壽命
試驗儀器 :用頻率犬于14次/而。的專用疲勞試驗儀器進行可靠壽命檢驗。
試驗方法 :首先將波紋答進行20次機械穩定處理,其頻率不小干“次/。in,幅度為。一脆,然后測量其實際剛度J:。再將波紋管模擬工作30萬次,其幅度為壓縮工作位移wg,然后測量其實際剛度J2。
數據處理方法:波紋管剛度變化李刀按下式計算:
1外觀質量
在日光或人工照明下用目側法。
2結構
用分度值為0.02mm的游標卡尺或分度值不低于。.02mm的其它量具檢驗,
3剛度
試驗儀器:剛度儀其精度應/被測剛度允許偏差的五分之一~三分之一。
試驗方法:將波紋管安裝在儀器上,給予波紋管以相當于壓縮安全位移Wmax的5%~03%的預壓縮位移或與之相當的預壓縮力,然后測量出使波紋管產生相當于波紋管壓縮安全位移Wnlax的30%~50%壓縮位移所需要的集中力Q,先預測一次,再正式試驗一次讀得Q值
數據處理方法:
每只波紋管實際剛度J;的計算式如下:

式中:WG—壓縮工作位移m
Q—集中力KN。
次只剛度偏差T的計算式如下:

式中:J—波紋管公稱剛度KN/心
J—波紋管實際剛度KN/m
波紋管分散度eJ的計算式如下:

式中:J—波紋管平均剛度KN/m
a—波紋管實際剛度對平均剛度的標準離差按下式計算

式中:Jj— 第j個波紋管的實際剛度KN/m
j—波紋管件的序號。
4.殘余變形
試驗儀器;用測量誤差不大于殘余變形允許變化值的三分之一的專用儀器進行殘余變形檢驗。
試驗方法:將波紋管安放在專用測試儀器上,用集中力Q預壓波紋管兩次,預壓縮位移為壓縮工作位移Wg的洲%一75%回零后對零。然后,再用集中力使波紋管產生壓縮工作位移Wg,保持5min如后緩慢卸載回零,5min后讀取回程零位偏離值W.
數據處理方法:殘余變形百分率按下式計算:

式中:Wg—壓縮工作位移m助
Wof—壓縮后零位偏離值mm。
5氣密性
試驗儀器 :1.5級壓力表及水槽、氣源、密封夾具。
試驗方法:將波紋管用密封夾具密封,然后通入相當于安全內壓力Pmax的03%的氣壓,在水槽內觀察lmin,看是否有水泡從波紋管表面逸出。
注: 在條件允許時可采用其它可靠方法。
6.心安全內壓力
試驗儀器:用測量誤差不大于波紋管長度變化率三分之一的專用儀器及量程為安全內壓力Pmax的1.5~2倍、精度不低于1.5級的壓力表進行安全內壓力檢驗。
試驗方法:將波紋管安裝在接頭上予以密封并制動,然后置于檢驗儀器上,向波紋管內通入壓力(安全內壓力Pmax,保持lm認后釋放壓力,5min動后讀取零位偏離值woP。
數據處理方法:波紋管長度變化率氏按下式計算:

式中:Lg—工作長度mTn
7.可靠壽命
試驗儀器 :用頻率犬于14次/而。的專用疲勞試驗儀器進行可靠壽命檢驗。
試驗方法 :首先將波紋答進行20次機械穩定處理,其頻率不小干“次/。in,幅度為。一脆,然后測量其實際剛度J:。再將波紋管模擬工作30萬次,其幅度為壓縮工作位移wg,然后測量其實際剛度J2。
數據處理方法:波紋管剛度變化李刀按下式計算:

下一篇: 正航儀器波紋管實際剛度對公稱剛度的允許偏差
上一篇: 正航儀器小功率柴油機水箱技術條件
此文關鍵詞: 正航儀器試驗方法
同類文章排行
- PCT高壓老化試驗與HAST高壓老化試驗
- HAST高壓老化試驗箱操作步驟
- hast試驗箱工作原理
- 測量與計量的關系及區別
- 鹽霧試驗箱
- 鹽霧老化試驗箱的鹽霧沉降量是多少
- 鹽霧試驗箱保障產品耐腐蝕性的重要工具
- 如何正確評估鹽霧試驗箱的性能?
- 正航分享鹽霧試驗箱不噴霧的原因及解決方法
- 鹽霧實驗箱的原理與應用
最新資訊文章
- 水冷式冷熱沖擊箱送貨深圳老客戶公司
- 512L水冷式轉鼓氙燈老化試驗箱, 15
- PCT高壓加速老化試驗箱發貨韶關老客戶公
- 防水試驗箱(IP3456等級)送貨東莞客
- 水冷式冷熱沖擊試驗箱送貨佛山客戶公司
- 定制冷熱沖擊箱發貨湖北武漢老客戶公司
- 80L三箱式冷熱沖擊箱發貨江西客戶公司
- 三箱式冷熱沖擊試驗箱送貨廣州老客戶公司
- 冷熱沖擊箱發貨重慶客戶公司
- 可靠性環境實驗設備發貨南京
- 鹽霧試驗箱日常維護技巧
- 鹽霧試驗箱應該如何正確地使用?
- 鹽霧試驗箱的原理與應用
- 鹽霧試驗箱使用小技巧
- 如何選擇合適的鹽霧試驗箱
- 鹽霧試驗箱產品耐用性測試
- 鹽霧試驗箱的濕度控制技巧
- 鹽霧試驗箱守護產品質量
- 鹽霧試驗箱助您提升產品競爭力
- 鹽霧試驗箱提升測試效率
聯系我們

咨詢熱線:
400-822-8565